"/>
ติดต่อสหกรณ์โทร 077-596-762-3 และ 077-596-673-4

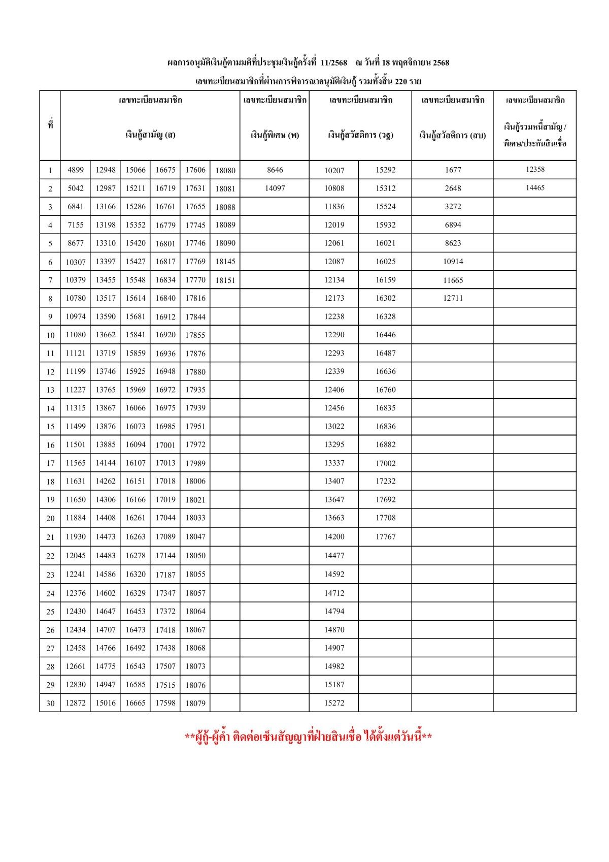
ผลการอนุมัติเงินกู้ตามมติที่ประชุมเงินกู้ครั้งที่ 11/2568 ณ วันที่ 18 พฤศจิกายน 2568

โดย นางสาวชนันภรณ์ ครรชิต
 วันที่ 18 พ.ย. 2568 15:11 น.
 1976